bayes optimal classifier in machine learning

bayes optimal classifier in machine learning

Price: $45.99
In stock
Rated 5.0/5 based on 4 customer reviews
Size:
Quantity:
product description:

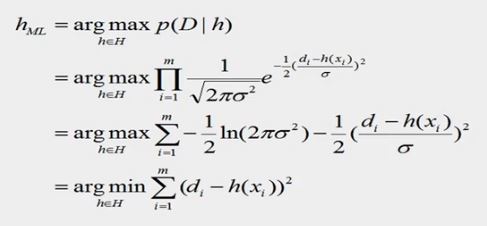
13 Bayes Optimal Classifier Solved
bayes optimal classifier in machine learning Discover cheap clothes, shoes and accessories for men at Our shop Outlet. Shop the latest menswear collection at cheap prices.
Product reviews:
  iphone 6s Plus
Machine Learning: Algorithm bayes optimal classifier in machine learning
bayes optimal classifier in machine learning
  iphone 8
Chapter 6 Bayesian Learning - ppt download bayes optimal classifier in machine learning
bayes optimal classifier in machine learning
  iphone 11 Pro Max
Optimal Bayes Classification - ppt download bayes optimal classifier in machine learning
bayes optimal classifier in machine learning
  iphone 7 Plus
6. Learning to Classify Text bayes optimal classifier in machine learning
bayes optimal classifier in machine learning
Customer Reviews:
Full Name:
Title:
Description:
Rating Value:
Time: 2026-02-02 13:34:40
You may also like: